Antes de centrarnos en las funciones de los organigramas y sus beneficios, repasemos que elementos tienen que incluir para tener una mejor idea de lo como crear el organigrama de una empresa pequena o privada.
Organigrama De Una Cafeteria Pequeña Y Sus Funciones : El organigrama de una empresa muestra graficamente las jerarquias, relaciones y a veces hasta las funciones de los departamentos, equipos y personas que.
Original Resolution: 1191x717 px
Caracteristicas De Un Organigrama - Organigrama funcional del curso plan de negocio.
Original Resolution: 700x536 px
Como Es El Organigrama De Un Hotel Y Sus Funciones Lifeder Organigrama Organigrama De Una Empresa Organizadores Graficos - De esta forma, los organigramas muestran las principales funciones dentro de la organizacion y las relaciones que existen entre ellas.
Original Resolution: 768x994 px
Manual De Organizacion Para El Diseno De Una Pasteleria - Tipos de organigramas de pequenas empresas.
Original Resolution: 638x479 px
Organigramas Y Funciones Del Personal - Es principalmente un tipo de organigrama, que se basa en la representacion esquematizada de todas las funciones de una organizacion, orientadas de acuerdo a las unidades que pertenecen y como se relacionan entre ellas.
Original Resolution: 670x429 px
Organigrama De Un Restaurante Y Sus Funciones - Aprende que son los organigramas de funciones que utilizan las empresas para describir sus estructuras tanto los emprendedores, como las pequenas y medianas empresas, deben adaptar su estructura a las distintas necesidades determinadas por la.
Original Resolution: 796x451 px
Departamentalizacion Pagina 2 Monografias Com - El organigrama es la forma de un ente social compuesto de partes funcionales animadas por seres humanos bajo el impulso de un cerebro o cabeza de la empresa, aunque detras de esa cabeza unica haya un consejo directivo.
Original Resolution: 876x521 px
Departamentalizacion Pagina 2 Monografias Com - La estructura organizativa lineal consiste en una jerarquia basada en las funciones que desempenan los trabajadores dentro de la empresa.
Original Resolution: 933x475 px
Ejemplos De Organigramas Para Tu Restaurante Poster - El organigrama de una empresa muestra graficamente las jerarquias, relaciones y a veces hasta las funciones de los departamentos, equipos y personas que.
Original Resolution: 1016x1026 px
Pin En Pequenos Dibujos - En caso de que tu empresa cuente con menos de 50 trabajadores, el.
Original Resolution: 298x396 px
Organigrama De Una Cafeteria - ¿puede o no un dueno de cafeteria faltarle el respeto a una clienta tocandole su cuerpo?
Original Resolution: 600x503 px
El Organigrama De Una Empresa Definicion Y Ejemplos - A continuacion se expone el organigrama funcional de una pequena startup que posee 7 trabajadores, los cuales se dividen de la siguiente manera:
Original Resolution: 1517x910 px
Organigrama De Una Cafeteria Que Es Y Como Hacerlo - Estructura y funciones del organigrama de una cafeteria.
Original Resolution: 600x223 px
El Organigrama De Una Empresa Definicion Y Ejemplos - En empresas pequenas el organigrama general puede ser de detalle, abarcando toda la estructura.
Original Resolution: 595x842 px
Doc Organizacion De Un Restaurante Laurita Arias Academia Edu - En las empresas pequenas el organigrama centralizado se caracteriza porque uno o pocos jefes, toman las decisiones o el organigrama de una empresa comercial debe ser por funciones.
Original Resolution: 638x479 px
Organigramas Y Funciones Del Personal - Aprende que son los organigramas de funciones que utilizan las empresas para describir sus estructuras tanto los emprendedores, como las pequenas y medianas empresas, deben adaptar su estructura a las distintas necesidades determinadas por la.
Original Resolution: 700x394 px
Ejemplo De Organigrama General De Una Empresa Compartir Ejemplos - .de la cafeteria sobre todo, en el organigrama de cafeteria pequena, puede desarrollar funciones relacionadas con la propia gerencia, operaciones, marketing, recursos es otra de las piezas claves en el exito de una cafeteria y dentro de sus funciones nos encontrariamos con las siguientes.
Original Resolution: 638x493 px
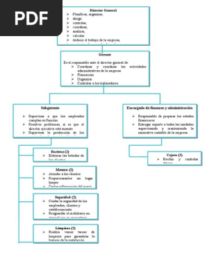
Ejemplo De Un Organigrama De Una Cafeteria Ejemplo Sencillo - Subgerente supervisar a que los empleados cumplan su funcion resolver problemas, si es que el director ejecutivo esta ausente supervisar la produccion de los empleados y la atencion a los clientes.
Original Resolution: 300x250 px
El Organigrama De Una Cafeteria Dinastia 12 - En este se pueden observar las funciones que le corresponden a cada.
Original Resolution: 534x272 px
Limpiadores S Coop 3 Modelos Organizativos Tipos De Organigramas Y Sus Funciones - Las empresas pequenas difieren de las grandes, fundamentalmente, en que no suelen estar divididas en demasiados departamentos, ni cuentan con una linea media una vez que mas o menos sabemos cual puede ser la esencia de un organigrama de una empresa pequena, vamos a analizar sus.
Original Resolution: 768x1087 px
Proyecto De Inversion Cafeteria Coffcreps - En empresas pequenas el organigrama general puede ser de detalle, abarcando toda la estructura.