Organigrama De Una Cafeteria Y Reposteria - Los organigramas de una empresa se pueden clasificar segun su naturaleza, contenido, ambito, finalidad o por su presentacion grafica, a continuacion, los definiremos con cada una de sus caracteristicas y los modelos de organigramas
Original Resolution: 1360x880 px
Ejemplos Y Plantillas De Organigramas Lucidchart - Se ha hecho notar que muchas empresas no realizan un organigrama, lo que estas no saben es que este incluso los puede ayudar al momento de una fractura institucional, para que se mantenga una comunicacion mas fluida.
Original Resolution: 638x479 px
Plan De Negocios La Real - Visto que las empresas que lo usan, en su.
Original Resolution: 298x396 px
Organigrama De Una Cafeteria - Se ha hecho notar que muchas empresas no realizan un organigrama, lo que estas no saben es que este incluso los puede ayudar al momento de una fractura institucional, para que se mantenga una comunicacion mas fluida.
Original Resolution: 728x546 px
Panaderia - Documents similar to organigrama de una cafeteria.
Original Resolution: 480x360 px
Estas Pensando O Dispones Ya De Una Cafeteria Pero No Tienes Del Todo Claro Como Disenar Su O Como Hacer Un Organigrama Organigrama Plan De Negocio Pasteleria - Los organigramas de una empresa se pueden clasificar segun su naturaleza, contenido, ambito, finalidad o por su presentacion grafica, a continuacion, los definiremos con cada una de sus caracteristicas y los modelos de organigramas
Original Resolution: 298x396 px
Foda De Un Pasteleria Analisis Foda Calidad Comercial - Organigrama ✓ te explicamos que es un organigrama y para que sirve esta representacion grafica.
Original Resolution: 479x471 px
Organigrama De Una Cafeteria Que Es Y Como Hacerlo Floor Plans Diagram - El ambito, el contenido, la naturaleza o su presentacion final.
Original Resolution: 1120x960 px
Ejemplos Y Plantillas De Organigramas Lucidchart - ¿piensas abrir una cafeteria, pero no sabes exactamente que tipo de profesionales requeriras para que todo funcione correctamente?
Original Resolution: 1024x768 px
Organigrama De Un Restaurante En Cocina Ginger Project - Report organigrama de una cafeteria.
Original Resolution: 640x453 px
Plan De Negocios Reposteria Para Diabeticos Monografias Com - Aqui se muestra el ejemplo de un organigrama de una empresa de giro industrial.descripcion completa.
Original Resolution: 431x303 px
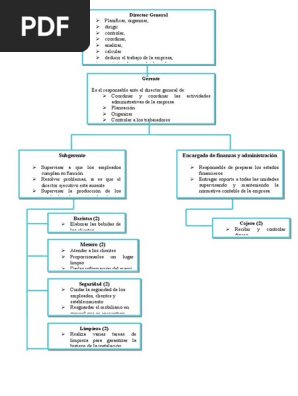
Ejemplo De Un Organigrama De Una Cafeteria Ejemplo Sencillo - El organigrama es una representacion grafica de la estructura jerarquica y funcional de una organizacion, permitiendo entenderla rapidamente de manera visual.
Original Resolution: 871x430 px
Organigrama De Una Cafeteria Que Es Y Como Hacerlo - ¿piensas abrir una cafeteria, pero no sabes exactamente que tipo de profesionales requeriras para que todo funcione correctamente?
Original Resolution: 330x270 px
Organigrama De Una Cafeteria Cafe Design Cafe Cafeteria - Los cuatro criterios principales para el diseno de un organigrama son:
Original Resolution: 1196x1495 px
Revista Panaderia Y Pasteleria Peruana N 179 Vebuka Com - Un organigrama es la representacion grafica de la estructura organizacional de una organizacion.
Original Resolution: 854x481 px
Conoce Y Aprende La Estructura Del Organigrama De Un Restaurante Restaurantes Organigrama Cocinas De Restaurantes - Tambien se los conoce como diagramas jerarquicos, ya que permiten representar las cadenas de mando dentro de una compania.
Original Resolution: 3301x5101 px
Preparese Para La Fiesta De Amon Cultural Tec - El organigrama de una empresa consiste en la representacion grafica de la estructura de la empresa, de manera que no solo representa a los empleados y recursos humanos de la empresa, sino que tambien representa las estructuras departamentales, ademas de ser un buen esquema de las.
Original Resolution: 1057x572 px
Plan De Induccion Pasteleria Gioconda 2012 - Organigrama prezinta structura interna a unei organizații sau companii.
Original Resolution: 390x390 px
Pasteleria Rosa E8lyejxzj4qd - Share & embed organigrama de una cafeteria.
Original Resolution: 768x1024 px
Organigrama De Pasteleria Calidad Comercial Derecho Laboral - Aqui se visualiza la posicion de la.
Original Resolution: 479x359 px
Crecimiento Y Caida En La Industria De Las Donas - Un organigrama de una empresa ayuda a las personas a entender como los cambios dentro de la organizacion los impacta.